

Единичная окружность в тригонометрии
Единичная окружность — это важнейший инструмент в тригонометрии, который помогает наглядно понять и решать задачи, связанные с углами, тригонометрическими функциями и их свойствами. Она используется для изучения синусов, косинусов, тангенсов и других тригонометрических функций, а также для решения уравнений и неравенств. Тема единичной окружности изучается в 9-10-х классах и является фундаментальной для понимания тригонометрии.
В этой статье мы подробно разберём, что такое единичная окружность, как она применяется в тригонометрии, и научимся решать задачи с её помощью.

Единичная окружность в тригонометрии
Для понимания единичной окружности необходимо разобрать несколько определений.
📎 Прямоугольная система координат (декартова система координат) — это система, состоящая из двух взаимно перпендикулярных осей: Ox (ось абсцисс) и Oy (ось ординат). Точка пересечения осей называется началом координат (O(0,0)). Каждая точка на плоскости задается парой чисел (x,y), где:
- x — расстояние от точки до оси Oy (абсцисса);
- y — расстояние от точки до оси Ox (ордината).
📎 Свойства системы координат
Оси делят плоскость на четыре четверти (квадранта):
- I четверть: x > 0, y > 0;
- II четверть: x < 0, y > 0;
- III четверть: x < 0, y < 0;
- IV четверть: x > 0, y < 0.
📎 Радиан — это единица измерения углов, которая показывает отношение длины дуги окружности к её радиусу. Один радиан равен углу, при котором длина дуги равна радиусу окружности.
📎 Формула связи радиана с градусами:

И наоборот:

Пример:
Угол 90° в радианах равен:

📎 Радиус — это расстояние от центра окружности до любой её точки. Обозначается буквой R. Радиус играет ключевую роль в определении свойств окружности, таких как длина окружности и площадь круга.
Если окружность расположена в прямоугольной системе координат с центром в начале координат (O(0,0)), то уравнение окружности с радиусом R имеет вид:
x² + y² = R².
📎 Длина окружности — это расстояние, которое нужно пройти по окружности, чтобы вернуться в исходную точку. Она зависит от радиуса окружности и вычисляется по формуле:
L = 2πR,
где R — радиус окружности, π ≈ 3,14159.
Пример:
Если радиус окружности равен R = 5, то длина окружности равна:
L = 2π ⋅ 5 = 10π ≈ 31,42.
📎 Связь радиана, радиуса и длины окружности
1. Радиан как мера угла
Радиан позволяет связать угол с длиной дуги окружности. Если угол α измеряется в радианах, то длина дуги l, соответствующей этому углу, вычисляется по формуле:
l = α ⋅ R,
где R — радиус окружности.
2. Полный оборот окружности
Полный оборот (360°) равен 2π радиан. Соответственно, длина всей окружности равна:
L = 2πR.
Пример задачи:
Угол α = π/3 радиан. Найдите длину дуги окружности с радиусом R = 6.
Решение: l = α ⋅ R = π/3 ⋅ 6 = 2π ≈ 6,28.
📎 Единичная окружность — это окружность с центром в начале координат O(0,0) и радиусом, равным 1. Любая точка на этой окружности имеет координаты (x,y), где:
x = cosα, y = sinα.
Здесь α — это угол между положительным направлением оси Ox и радиус-вектором, проведённым из центра окружности к точке на окружности.
Основное тригонометрическое тождество
Для любой точки на единичной окружности выполняется равенство:
x² + y² = 1 или cos 2α + sin 2α = 1.

Направление отсчёта углов:
- Углы отсчитываются от положительного направления оси Ox.
- Положительное направление — против часовой стрелки.
- Отрицательное направление — по часовой стрелке.
Тригонометрические функции через единичную окружность:
- Синус угла (sinα) — это ордината (y) точки на единичной окружности.
- Косинус угла (cosα) — это абсцисса (x) точки на единичной окружности.
- Тангенс угла (tanα) — это отношение синуса к косинусу: tanα = sinα/cosα.
- Котангенс угла (cotα) — это отношение косинуса к синусу: cotα = cosα/sinα.
Периодичность тригонометрических функций:
- Синус и косинус имеют период 360°(или 2π).
- Тангенс и котангенс имеют период 180°(или π).
Знаки тригонометрических функций по четвертям:
- В первой четверти (0° < α < 90°): все функции положительны.
- Во второй четверти (90°< α < 180°): синус положителен, косинус и тангенс отрицательны.
- В третьей четверти (180°< α < 270°): синус и косинус отрицательны, тангенс положителен.
- В четвёртой четверти (270°< α < 360°): косинус положителен, синус и тангенс отрицательны.
Оси координат и их значения:
- На оси Ox (α = 0°, 180°, 360°): синус равен 0, косинус равен ±1.
- На оси Oy (α = 9°, 270°): косинус равен 0, синус равен ±1.
Радианная мера угла показывает длину дуги единичной окружности, соответствующей данному углу. Например:

Для чего можно использовать единичную окружность
Единичная окружность широко применяется в тригонометрии и физике. Вот основные области её использования:
1. Определение значений тригонометрических функций:
- С помощью единичной окружности легко находить значения синуса, косинуса, тангенса и котангенса для любого угла.
2. Решение тригонометрических уравнений и неравенств:
- Единичная окружность помогает визуализировать решения уравнений, таких как sin(x) = a или cos(x) = b.
- Например, уравнение sin(x) = 1/2 имеет два решения на окружности: x = 30° и x = 150°.
3. Нахождение периодов тригонометрических функций:
- Период синуса и косинуса равен 360° (или 2π), а тангенса и котангенса — 180° (или π).
- Единичная окружность наглядно демонстрирует повторяемость значений тригонометрических функций.
4. Изучение свойств тригонометрических функций
Знаки тригонометрических функций зависят от четверти, в которой находится угол:
- В I четверти: sin > 0, cos > 0.
- Во II четверти: sin > 0, cos < 0.
- В III четверти: sin < 0, cos < 0.
- В IV четверти: sin < 0, cos > 0.
5. Физические приложения:
- Единичная окружность используется для описания гармонических колебаний, волновых процессов и других явлений, связанных с периодическими функциями.
Решение заданий с единичной окружностью
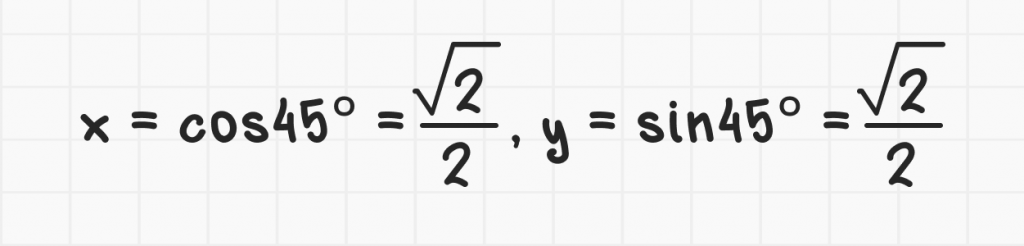
Задача 1. Найдите значения sin 45°, cos 45° и tan 45°.
Решение:
1. На единичной окружности угол 45° расположен в I четверти. Координаты точки на окружности:

2. Тангенс угла вычисляется как отношение синуса к косинусу:

Задача 2. Решите уравнение cos(x) = -1/2.
Решение:
- На единичной окружности найдём точки, где cos(x) = -1/2. Это соответствует углам во II и III четвертях.
- Угол, соответствующий cos(x) = -1/2, равен 120° (во II четверти) и 240° (в III четверти).
- Общее решение уравнения: x = 120° + 360° n или x = 240° + 360° ⋅ n, n принадлежит Z.
Задача 3. Определите знак sin (210°).
Решение:
- Угол 210° находится в III четверти.
- В III четверти синус отрицателен.
Единичная окружность — это универсальный инструмент для изучения тригонометрических функций и решения задач. Она помогает наглядно понять, как связаны углы, координаты и тригонометрические функции, а также позволяет эффективно решать уравнения и неравенства. Мы рассмотрели основные применения единичной окружности и решили несколько задач, чтобы закрепить материал. Эти знания будут полезны не только в школе, но и в дальнейшем изучении математики и физики.
Если возникают трудности с пониманием темы, воспользуйтесь материалами статьи или обратитесь за дополнительной помощью к нашим репетиторам!
15
18
8

Комментарии 0