Уравнения с модулем: как решать
Напомним, что модуль — это неотрицательное число, обозначающее расстояние между началом координат и подмодульным выражением. И при возникновении модуля в уравнении необходимо уметь правильно его раскрыть. В этой статье мы как раз и научимся правильно решать уравнения с модулем.

Как решать уравнения с модулем без переменной внутри
Если модуль внутри себя содержит только число, то раскрывается он следующим образом:
| k | = k
| -k | = k
k — положительное число.
Например: x + |-4| = 0 => x + 4 = 0 => x= -4
Kак решать уравнения с модулем с переменной внутри
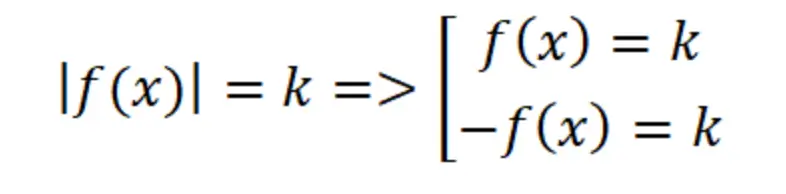
Как правило, сложности появляются при возникновении неизвестной переменной под знаком модуля, потому что переменная может принимать любые значения, следовательно, невозможно определить исход.
Например: | 4x — 1 | = 7
В таком случае раскрытие модуля производится так:

Иными словами, одно уравнение превращается в два, но уже без модуля, решение которых мы легко можем найти.
Посмотрим на примере:

Получили два корня, при подстановке которых получим верное уравнение.
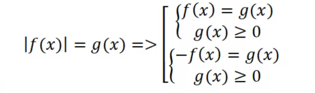
Дополнительно рассмотрим ситуацию, когда модуль приравнивается к некой функции, содержащей переменную.
Уравнение с модулем будет следующее: |x| = 3x — 5.
Здесь необходимо предусмотреть условие, что модуль неотрицателен, следовательно, не может равняться отрицательному значению:

На нашем примере:

А значит подойдёт только корень x = 2,5.
🖇️ Читайте также: Как научиться быстро решать уравнения
И приходите на занятия к репетиторам нашей онлайн-школы, чтобы разобраться, как решать уравнения с модулем, а также в других темах по математике. Первый урок — бесплатный ⤵
1
4
2
Комментарии 0