Как исследовать функции
Исследовать поведение функции по построенному графику не так сложно. А вот можно ли исследовать функцию аналитически, без графика? Можно! И сейчас мы покажем, как это сделать.

Аналитическое исследование функции

Пример
Рассмотрим подробнее каждый из пунктов сразу на примере.
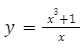
Пусть дана функция:

1. Область определения — это все допустимые значения х.
Так как в данной функции есть переменная в знаменателе, укажем, что он не равен нулю: x ≠ 0. Тогда х может принимать значения D = (-∞; 0) ∪ (0; +∞).
2. Используем непрерывность с помощью пределов. Выше мы нашли, что x ≠ 0.

Следовательно, функция имеет разрыв в точке x = 0.
3. Чётность функции определяется свойством: f (-x) = f (x), нечётность функции определяется свойством: f (-x) = -f (x).
В нашем случае функция не симметрична, поэтому можем утверждать, что является ни чётной, ни нечётной.
4. Нули функции — это точки пересечения графика с ОХ. То есть значения x функции, при которых у = 0.
Найдём для нашего примера:

График пересекает ось ОХ в точке (-1; 0).
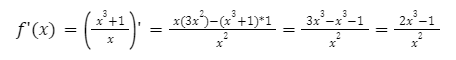
5. Монотонность исследуется с помощью производной.
Рассмотрим второй вариант, найдём производную данной функции:

Приравняем её к 0 и найдём корни:

При помощи интервалов определим промежутки возрастания и убывания:

Таким образом, функция убывает на промежутке:

и возрастает на промежутке:

Данная точка:

является точкой минимума, а точек максимума у данной фyнкции не будет.
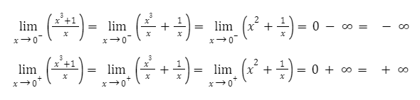
6. Исследуем асимптоты, используя пределы:
Исследуем вертикальную асимптоту. Выше мы нашли, что x ≠ 0.

Следовательно, x = 0 является вертикальной асимптотой.
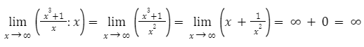
Исследуем горизонтальную асимптоту:

Горизонтальной асимптоты нет.
Исследуем наклонные асимптоты:

Наклонных асимптот нет.
По полученным данным схематично построим график:

7. Область значений — все возможные значения у, которые может принимать заданная функция.
В данном примере ограничений сверху или снизу нет, следовательно: E = (-∞; +∞).
Итак, мы исследовали функцию без построения, только аналитически, и уже по полученному словесному описанию можем построить график или приблизительный макет. Именно поэтому важно уметь исследовать фyнкции. Мы разобрали теорию на простом примере, но с этими знаниями вы сможете исследовать любую функцию.
А если понадобится помощь с другими темами по математике или другим предметам — приходите на занятия с репетиторами нашей онлайн-школы. Первый урок — бесплатный ⤵
📌 Читайте также: Как найти периметр и площадь прямоугольника и квадрата
1
3
0
Комментарии 0