Обложка поста
Автор: Команда Тетрики
Просмотры

Вычитание дробей

Учебник Время чтения: 2 мин.

Дроби встречаются во многих задачах: при работе с рецептами, измерениями, в физике, географии и даже в повседневной жизни. Поэтому важно научиться их правильно складывать и вычитать. В этой статье мы рассмотрим основные правила вычитания дробей и разберём примеры, которые помогут лучше понять материал.

Понятие дроби

Обыкновенная дробь имеет вид:

где a — числитель, b — знаменатель,  b ≠ 0.

  1. Знаменатель показывает, на сколько частей разделено целое.
  2. Числитель показывает, сколько частей взято.

Например,

означает, что целое разделено на 5 равных частей и взяты 3 из них:

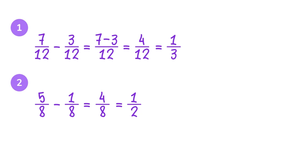
Вычитание дробей с одинаковыми знаменателями

Если знаменатели дробей равны, то вычитание выполняется только по числителям, знаменатель остаётся неизменным.

Правило:

Примеры:

вычитание дробей

Вычитание дробей с разными знаменателями

Когда знаменатели разные, сначала нужно привести дроби к общему знаменателю. Обычно — к наименьшему общему кратному знаменателей.

Шаги:

1️⃣ Найти общий знаменатель.

2️⃣ Преобразовать дроби к общему знаменателю.

3️⃣ Вычесть числители, знаменатель оставить.

4️⃣ При необходимости сократить результат.

Пример:

вычитание дробей

Вычитание натурального числа из обыкновенной дроби

Иногда нужно вычесть натуральное число из дроби, в таком случае натуральное число можно представить как дробь:

Пример:

вычитание дробей

Вычитание обыкновенной дроби из натурального числа

Натуральное число также представляется дробью с нужным знаменателем:

Пример:

вычитание дробей

Вычитание дробей — важный навык, который пригодится в дальнейшем изучении математики. Чтобы успешно выполнять такие действия, нужно помнить основные шаги:

  1. при одинаковых знаменателях вычитаем числители;
  2. при разных знаменателях приводим дроби к общему знаменателю;
  3. натуральное число всегда можно представить в виде дроби;
  4. в конце полезно сокращать дробь или выделять целую часть.

Главное — внимательно выполнять преобразования и проверять промежуточные шаги. Тогда любые примеры с дробями будут решаться легко и уверенно!

Если возникают трудности с пониманием темы, воспользуйтесь материалами статьи или обратитесь за дополнительной помощью к репетиторам нашей онлайн-школы. Первый урок — бесплатный 💜

Влюбляем в обучение на уроках в онлайн-школе Тетрика
Оставьте заявку и получите бесплатный вводный урок
Как вам статья?
Реакция 12
Реакция 1
Реакция 2
Спасибо! Ваш комментарий отправлен на модерацию

Комментарии 0

Оставить комментарий

Подпишитесь
и получите подарки
Декор элементы
онлайн-школа для детей и подростков 1-11 класс

Онлайн-школа Тетрика

Преподаватели ‒ эксперты

Подбираем репетитора под любые цели. Уроки ведут действующие эксперты ЕГЭ, кандидаты наук с опытом работы от 5 лет. Преподаватели английского языка имеют международные сертификаты: CAE, IELTS, TKT, CELTA, TESOL

Декор элемент Декор элемент Декор элемент

Декор элемент Занимайтесь, где
угодно и когда удобно

Составим индивидуальный план подготовки и гибкое расписание — можно учиться из любого места и совмещать со школой или работой

Декор элемент Контроль качества занятий

Методисты Тетрики следят за всеми занятиями, фиксируют прогресс учеников и оценивают качество онлайн-уроков. А репетиторы отправляют обратную связь родителям после каждого урока

Декор элемент Интерактивная платформа

Удобный инструмент для онлайн-занятий по всем школьным предметам

Декор элемент

Наши преподаватели

Попробуйте первое бесплатное занятие с одним из наших преподавателей

Попробуйте бесплатно занятие в онлайн-школе Тетрика

Пробное занятие по любому школьному предмету, подготовке к ЕГЭ и ОГЭ или поступлению в первый класс
Отправляя форму, вы соглашаетесь с офертой и даёте согласие на обработку ваших персональных данных
Произошла ошибка, попробуйте позднее.