
Медиана в треугольниках
В геометрии треугольник — одна из самых важных фигур. Изучая его свойства, мы открываем удивительные закономерности, которые помогают решать множество практических задач: от строительства до компьютерной графики.
Одним из ключевых элементов треугольника является медиана. В этой статье мы подробно разберём, что такое медиана, какими свойствами она обладает и как её использовать при решении геометрических задач.

Основные понятия
Треугольник — геометрическая фигура, состоящая из трёх точек (вершин), не лежащих на одной прямой, и трёх отрезков (сторон), соединяющих эти точки.
Различают несколько видов треугольников:
- равнобедренный — треугольник, у которого две стороны равны (равные стороны называются боковыми сторонами, а третья — основанием);
- равносторонний (правильный) — треугольник, у которого все три стороны равны;
- прямоугольный — треугольник, в котором один из углов равен 900.
Важные элементы треугольника:
- медиана — отрезок, соединяющий вершину треугольника с серединой противоположной стороны (Рисунок 1, а);
- высота — перпендикуляр, проведённый из вершины треугольника к прямой, содержащей противоположную сторону (Рисунок 1, б);
- биссектриса — отрезок, делящий угол при вершине треугольника на два равных угла и соединяющий вершину с точкой на противоположной стороне (Рисунок 1, в);
- серединный перпендикуляр — прямая, перпендикулярная стороне треугольника и проходящая через её середину.

Медианы в треугольниках и их свойства
Каждый треугольник имеет три медианы, по одной из каждой вершины. Все три медианы пересекаются в одной точке — центроиде (или точке пересечения медиан).
Свойства медиан
1️⃣ Медиана делит треугольник на два треугольника равной площади.
Если в треугольнике ABC проведена медиана AM к стороне BC, то площади треугольников ABM и ACM равны:


2️⃣ Точка пересечения медиан делит каждую медиану в отношении 2:1, считая от вершины.
Если G — центроид треугольника ABC, а AM, BT и CN — медиана, то:


3️⃣ Отрезки медиан от вершин до центроида делят треугольник на три треугольника равной площади.
Треугольники AGB, BGC и CGA имеют равные площади:


4️⃣ Три медианы делят треугольник на шесть треугольников равной площади.
Все шесть маленьких треугольников, образованных медианами, имеют одинаковую площадь:


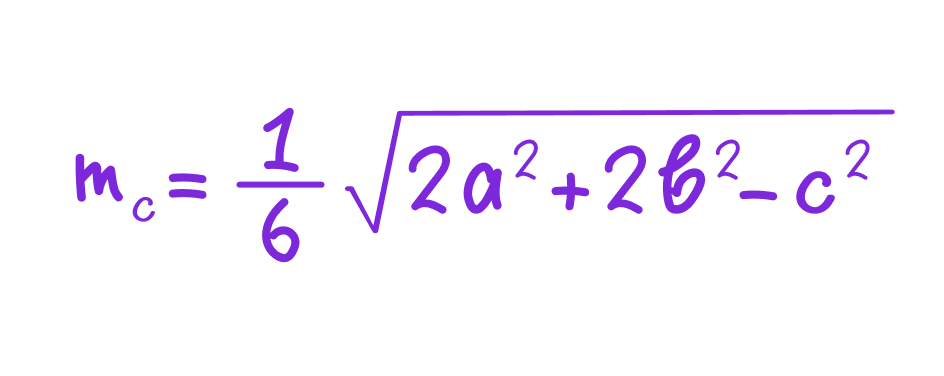
Формула для вычисления длины медианы
Длина медианы mc , проведённой из вершины C к стороне AB, вычисляется по формуле:


Примеры решения заданий
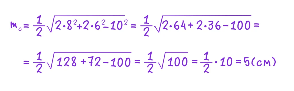
Пример 1. В треугольнике ABC сторона AB=10 см, AC=8 см, BC=6 см. Найдите длину медианы, проведённой к стороне AB.
Решение ⤵
Используем формулу для медианы mc (где c=AB=10 см):

Ответ: 5 см.
Пример 2. В равнобедренном треугольнике ABC (AB=AC) проведена медиана BM к основанию AC. Известно, что BM=12 см, а площадь треугольника ABC равна 72 см2. Найдите длину основания AC.
Решение ⤵
Медиана BM в равнобедренном треугольнике является также высотой, поэтому площадь треугольника можно выразить как:

Подставляем известные значения:

Ответ: 12 см.
📝 Упражнение для самопроверки
Задание. В треугольнике KLM медианы пересекаются в точке O. Площадь треугольника KLM равна 48 см2. Найдите площадь треугольника KOM.
Решение ⤵
Точка пересечения медиан обладает свойством: отрезки медиан от вершин до центроида делят треугольник на три треугольника равной площади. Вычислим искомую площадь по этому свойству:

Ответ: 16 см2.
Медиана — важный элемент треугольника, обладающий рядом замечательных свойств. Знание этих свойств позволяет решать разнообразные геометрические задачи. А понимание роли медианы в треугольнике — один из ключевых шагов в освоении геометрии.
Практикуйтесь в решении задач, и вы сможете уверенно применять эти знания в более сложных темах. А если возникают трудности, обратитесь за дополнительной помощью к репетиторам нашей онлайн-школы. Первый урок — бесплатный 💜
2
0
0

Комментарии 0